Open and funded my brokerage account with small amount of $400, focusing on low risk trades that can yield upwards of 10% are the aim, if i double the account i plan to fund more but I do plan to have a lot more holes exposed in my trading under this new account. Placing this restriction on myself i think will help me focus on the plays that feel easy, like i just have to press the button and i feel confident. Guessing is when i feel my emotions take over, when i don't know what the stock's going to do. Studying and reviewing my trading are the two biggest differences that have influenced my stock trading ability. Plan to do more of the same over the next few years. Now i need to stalk plays better, be better prepared, stop jumping in because i see movement and some resistance and support. The best plays are planned.
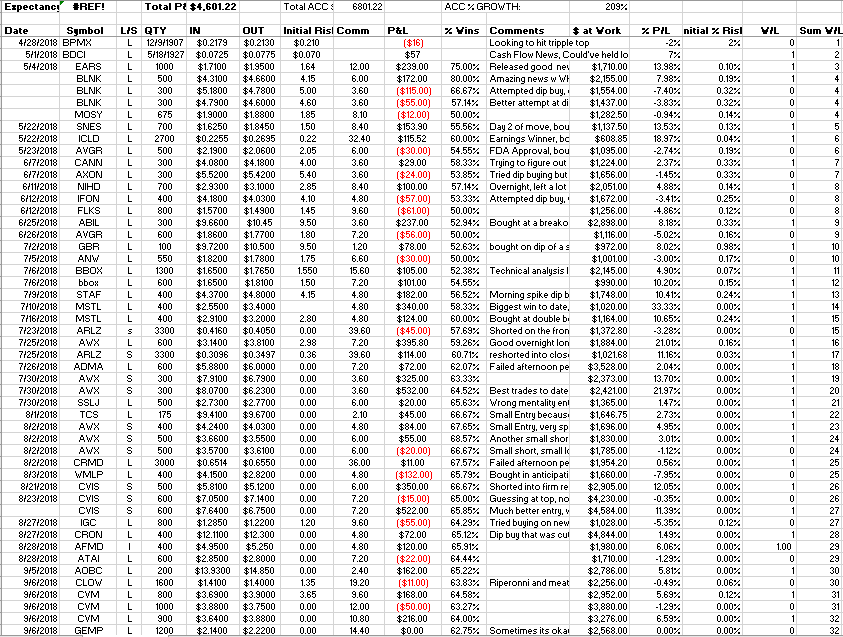
Starting ACC: $2,200 in April.
Missing 1 trade from the table below was $110 profit on $FCRE on 4/27/2018. Very inconsistant trading patterns but i consitantly studied through this time period. With daily market watch, and playing under the PDT i think will only yield a positive effect in the long run. 
Join now or log in to leave a comment